问题
且cpu部分的存储貌似只是内存,没有考虑外存那些
- 在UVM settings下讨论(CUDA支持)
related work
本文作为对比对象的:


大图放多GPU或GPU和CPU

GPU BFS

external BFS:已计划

一些定义

UVM



CSR和BFS


分析
factors that impact performance(DATA ACCESS PATTERN):
- Dependence on the Source Node
- Dependence on Graph Ordering
- Dependence on Directedness
问题形式化(貌似没有用)
理想的order:

1 HARMONIC LOCALITY ORDERING
希望的
从随机的顶点出发BFS,所以希望

这个在无向图中可以

计算

算法
“精确”
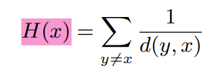
代替上面的c(x)

计算中心性

给order
不是严格按照中心性降序作为order的原因以及设计:

近似

把上式展开,相同d的项放在一起,得到的和式,第一项对应和x距离为1的所有点,第二项对应和x距离为2的所有点…

